Berikut Ini Adalah Cara Membuat Dokumen Baru Kecuali

Jan 27, 2021

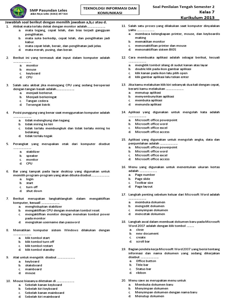
Cara Membuat Dokumen Baru Pada MS-Word Cara Membuat Dokumen Baru Pada MS-Word Terampil Office: Beberapa Cara Membuat Dokumen Baru Pada Microsoft … Cara Membuat Dokumen Baru Pada MS-Word Membuat Dokumen Baru Dalam Microsoft Excel 2007. – Berbagi … Cara Membuat Dokumen Baru Pada MS-Word Terampil Office: Beberapa Cara Membuat Dokumen Baru Pada Microsoft … Word 2016 (Bahasa Indonesia): Membuat dan Membuka Dokumen Microsoft Word; Cara Membuat File Baru, Menyimpan Dan Membuka File Cara Membuka Microsoft Word untuk Membuat Dokumen Baru Cara Membuat Dokumen Baru Pada MS-Word Cara Menyimpan Dokumen Microsoft Word (dengan Gambar) - wikiHow Cara Membuat Dokumen Baru Dalam Microsoft PowerPoint 2007 … Cara Membuat Dokumen Baru dan Menyimpannya di Excel - SemutImut … Cara Membuat Dokumen Baru dan Menyimpannya di Excel - SemutImut … 4 Cara Membuat Folder Baru Di Microsoft Windows Membuat Dokumen Baru Dalam Microsoft Excel 2007. – Berbagi … Terampil Office: Beberapa Cara Membuat Dokumen Baru Pada Microsoft … Membuat Dokumen Baru Dalam Microsoft Excel 2007. – Berbagi … Wahid Blog: CorelDRAW : Membuat Dokumen Baru Microsoft Word; Cara Membuat File Baru, Menyimpan Dan Membuka File Cara Membuat Dokumen Baru dan Menyimpannya di Excel - SemutImut … Wahid Blog: CorelDRAW : Membuat Dokumen Baru Wahid Blog: CorelDRAW : Membuat Dokumen Baru Soal-soal Latihan TIK kelas 8 (Microsoft Word dan Excel) SOAL KELAS 10 Cara Membuat Dokumen Baru dan Menyimpannya di Excel - SemutImut … √ Belajar Microsoft Word Lengkap untuk Pemula (+Gambar) UTS TIK (8) Cara Membuat Dokumen Baru dan Menyimpannya di Excel - SemutImut … Soal dan Jawaban.doc Terampil Office: Beberapa Cara Membuat Dokumen Baru Pada Microsoft … Membuat Dokumen Baru Dalam Microsoft Excel 2007. – Berbagi … √ Belajar Microsoft Word Lengkap untuk Pemula (+Gambar) Terampil Office: Page Setup (Pengaturan Halaman) Pada Microsoft Word Membuat Dokumen Baru Dalam Microsoft Excel 2007. – Berbagi … Cara Membuat Koran atau Majalah di Microsoft Word • Inwepo Cara Membuat Dokumen Baru dan Menyimpannya di Excel - SemutImut … Cara Membuat Majalah Dengan Menggunakan .Cara Membuat Majalah … Langkah mail merge lebih 2 data satu kertas Contoh Soal Microsoft Word Beserta Jawabannya | Kumpulan Soal … Menyimpan, mencadangkan, dan memulihkan file di Microsoft Office … √ Belajar Microsoft Word Lengkap untuk Pemula (+Gambar) Cara Membuat Dokumen Baru Pada MS-Word Sebutkan langkah langkah untuk membuat dokumen baru program … Cara Membuka Microsoft Word dan Membuat File Dokumen Baru Tutorial Gadang: Cara Membuat Dokumen Baru Adobe Photoshop Yang … soal word2007.docx - CONTOH SOAL-SOAL WORD 2007 1 Sebutkan cara … 2. Mengenali menu, membuat, membuka, dan menyimpan dokumen … Membuat Dokumen Baru Dalam Microsoft Excel 2007. – Berbagi … Cara Membuat Dokumen Baru dan Menyimpannya di Excel - SemutImut … √ Belajar Microsoft Word Lengkap untuk Pemula (+Gambar) Menggunakan gabungan surat untuk mengirim data Access ke Word - Access Terampil Office: Beberapa Cara Membuat Dokumen Baru Pada Microsoft … Kelas 7 Kurikulum 2013: Jawablah soal berikut dengan memilih … Cara Membuat Dokumen Baru Pada MS-Word Menyimpan, mencadangkan, dan memulihkan file di Microsoft Office … Cara Membuat Mail Merge di Ms Word (Step-by-step) | cara aimyaya … Terampil Office: Beberapa Cara Membuat Dokumen Baru Pada Microsoft … Cara Menyimpan Dokumen Word Baru atau Sudah Pernah Tersimpan perintah untuk membuat dokumen baru dapat diakses dengan cara cara … Cara Membuat Garis Tepi di Word Sesuai Margin Agar Rapi … Membuat publikasi baru di Publisher - Publisher Cara Mengatur Ukuran Margin Berbagai Jenis Halaman Dokumen Word … √ Belajar Microsoft Word Lengkap untuk Pemula (+Gambar) Kisi-kisi Sertifikasi Microsoft Cara Membuat Dokumen Baru Dalam Microsoft PowerPoint 2007 … 2. Mengenali menu, membuat, membuka, dan menyimpan dokumen … Microsoft Word; Cara Membuat File Baru, Menyimpan Dan Membuka File √ Cara Mudah Membuat Cover Makalah di Word [Bagus dan Rapi] Tugas dasar di Word - Word Tutorial Gadang: Cara Membuat Dokumen Baru Adobe Photoshop Yang … √ CARA MENGATUR Spasi dan Jarak Paragraf di Word 2010, 2013 … Cara Membuat File PDF di Smartphone Android – Candra Bi Cara Mengurangi Ukuran Dokumen Microsoft Word (Bagaimana caranya … Dokumen Baru.docx Cara Membuka Microsoft Word dan Membuat File Dokumen Baru Memblokir atau membuka blokir konten eksternal dalam dokumen … Cara Mengatur Ukuran Margin Berbagai Jenis Halaman Dokumen Word … Membuat atau mengedit hyperlink - Dukungan Office Cara Memasukkan Atau Menyisipkan Gambar Ke Dokumen Word √ Belajar Microsoft Word Lengkap untuk Pemula (+Gambar) perintah untuk membuat dokumen baru dapat diakses dengan cara cara … Dokumen Baru.docx 5 Tips dan Trik Membuat Page Border di Word – Computer 1001 Cara Membuat Dokumen Baru Dalam Microsoft PowerPoint 2007 … 2. Mengenali menu, membuat, membuka, dan menyimpan dokumen … Word 2016 (Bahasa Indonesia): Membuat dan Membuka Dokumen √ Belajar Microsoft Word Lengkap untuk Pemula (+Gambar) Cara Membuat Dokumen Baru Pada MS-Word Cara Membuat Tabel di Word dan Memodifikasinya Sesuai Kebutuhan 2. Mengenali menu, membuat, membuka, dan menyimpan dokumen … Cara Membuat Koran atau Majalah di Microsoft Word • Inwepo √ Belajar Microsoft Word Lengkap untuk Pemula (+Gambar) Cara Membuat Mail Merge di Word – Computer 1001 Cara Membuat Mail Merge di Word Menggunakan Sumber Data Dari Excel …

Bulat Air Karena Pembuluh Bulat Kata Karena Mufakat

Bila X Terbakar Habis Dampak Yang Terjadi Adalah