Berikut Ini Yang Bukan Merupakan Cara Mengaktifkan Microsoft Word Adalah

Jan 28, 2021

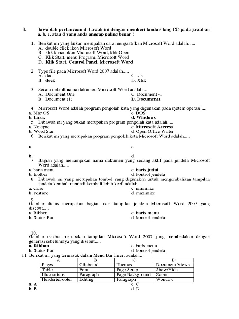
Berikut Ini Yang Bukan Merupakan Cara Mengaktifkan Microsoft Word Adalah – Eva Berikut Ini Yang Bukan Merupakan Cara Mengaktifkan Microsoft Word Adalah Berikut Ini Yang Bukan Merupakan Cara Mengaktifkan Microsoft Word Adalah – Eva Berikut Ini Yang Bukan Merupakan Cara Mengaktifkan Microsoft Word Adalah – Eva Berikut Ini Yang Bukan Merupakan Cara Mengaktifkan Microsoft Word Adalah – Eva Cara Cepat Membuka Microsoft Word - Kompasiana.com Berikut Ini Yang Bukan Merupakan Cara Mengaktifkan Microsoft Word Adalah – Eva Berikut Ini Yang Bukan Merupakan Cara Mengaktifkan Microsoft Word Adalah – Eva Berikut Ini Yang Bukan Merupakan Cara Mengaktifkan Microsoft Word Adalah – Eva Berikut Ini Yang Bukan Merupakan Cara Mengaktifkan Microsoft Word Adalah – Eva Berikut Ini Yang Merupakan Cara Mengaktifkan Microsoft Word Adalah Berikut Ini Yang Bukan Merupakan Cara Mengaktifkan Microsoft Word Adalah – Eva Berikut Ini Yang Bukan Merupakan Cara Mengaktifkan Microsoft Word Adalah Soal TIK Kelas 8 Beserta Kunci Jawaban tik ok Soal TIK Kelas 8 Beserta Kunci Jawaban - [PDF Document] Berikut Ini Yang Bukan Merupakan Cara Mengaktifkan Microsoft Word Adalah – Eva Berikut Ini Yang Bukan Merupakan Cara Mengaktifkan Microsoft Word Adalah – Eva Berikut Ini Yang Bukan Merupakan Cara Mengaktifkan Microsoft Word Adalah – Eva Latihan ms. word Soal Ujian TIK Kls 8 Semester Genap 2018 Berikut Ini Yang Bukan Merupakan Cara Mengaktifkan Microsoft Word Adalah – Eva Berikut Ini Yang Bukan Merupakan Cara Mengaktifkan Microsoft Word Adalah – Eva Berikut yang bukan merupakan caramengaktifkan Microsoft Word adalah ….a double click ikon - Brainly.co.id Berikut Ini Yang Merupakan Cara Mengaktifkan Microsoft Word Adalah soal uas ganjil tik kelas 8 2016.docx - I Pilihlah jawaban a b c atau d yang dianggap paling benar dengan cara memberi tanda arsir(\u25cf pada lembar | Course Hero Soal Ujian TIK SMP Kelas 8 Semester 1 (1) Berikut Ini Yang Merupakan Cara Mengaktifkan Microsoft Word Adalah soal uas ganjil tik kelas 8 2016.docx - I Pilihlah jawaban a b c atau d yang dianggap paling benar dengan cara memberi tanda arsir(\u25cf pada lembar | Course Hero soal uas ganjil tik kelas 8 2016.docx - I Pilihlah jawaban a b c atau d yang dianggap paling benar dengan cara memberi tanda arsir(\u25cf pada lembar | Course Hero Berikut Ini Yang Bukan Merupakan Cara Mengaktifkan Microsoft Word Adalah – Eva dokumen.tips_soal-tik-kelas-8-beserta-kunci-jawaban Latihan 1 Kelas 8-5 | Computers Quiz - Quizizz soal uas ganjil tik kelas 8 2016.docx - I Pilihlah jawaban a b c atau d yang dianggap paling benar dengan cara memberi tanda arsir(\u25cf pada lembar | Course Hero Bagian-Bagian Microsoft Word dan Tampilan Microsoft Word - Advernesia Berikut Ini Yang Bukan Merupakan Cara Mengaktifkan Microsoft Word Adalah – Eva sebutkan langkah mengaktifkan M.S Word! - Brainly.co.id soal uas ganjil tik kelas 8 2016.docx - I Pilihlah jawaban a b c atau d yang dianggap paling benar dengan cara memberi tanda arsir(\u25cf pada lembar | Course Hero Simulasi Dan Komunikasi Digital Berikut Ini Yang Bukan Merupakan Cara Mengaktifkan Microsoft Word Adalah – Eva soal uas ganjil tik kelas 8 2016.docx - I Pilihlah jawaban a b c atau d yang dianggap paling benar dengan cara memberi tanda arsir(\u25cf pada lembar | Course Hero doc - Load hypertext documentation. Berikut Ini Yang Bukan Merupakan Cara Mengaktifkan Microsoft Word Adalah – Eva TIK KELAS 8 | Computers Quiz - Quizizz Gunbound Tips and Trick: Januari 2007 yang bukan cara mengaktifkan atau membuka Microsoft Word adalah…A. klik star, all program, - Brainly.co.id Dm. Andromeda II Mm Si Gunbound Tips and Trick: Januari 2007 Berikut Ini Yang Merupakan Cara Mengaktifkan Microsoft Word Adalah Berikut Ini Yang Merupakan Cara Mengaktifkan Microsoft Word Adalah Berikut Ini Yang Bukan Merupakan Cara Mengaktifkan Microsoft Word Adalah – Eva Berita Gadget Terbaru Hari ini - Organizepittsburgh.org https://pendidikanmu.com/2021/01/proposal.html 2021-01-26T01:05:50+00:00 monthly 0.8 https://pendidikanmu.com/2021/01/tesis.html 2021-01-25T13:05:35+00:00 monthly 0.8 https://pendidikanmu.com/2021/01/pengertian-konsumsi-ciri-tujuan-dan Berikut Ini Yang Bukan Merupakan Cara Mengaktifkan Microsoft Word Adalah – Eva Ayomi Belajar Berikut Ini Yang Bukan Merupakan Cara Mengaktifkan Microsoft Word Adalah – Eva bantu jawab no 21 sampai 30 - Brainly.co.id TIK | Programming Quiz - Quizizz NIGURU.com Dm. Andromeda II Mm Si TELEsatelit - TELE-satellite International Magazine Microsoft Word Versi Terbaru 2021 - Download Gratis dan Review TIK Ms. Power Point 2007 Berikut Ini Yang Merupakan Cara Mengaktifkan Microsoft Word Adalah Uji Stabilitas Jaringan - Kemahasiswaan IT Telkom Tugas Daring Sistem Komputer | Computers Quiz - Quizizz 112+ Contoh Soal Uas Tik Kelas 7 Smp/Mts Semester Genap Terbaru Soal Uas Tik Kelas 7 Smp/Mts Soal Uas Tik Kelas 7 Smp/Mts TIK Ms. Power Point 2007 Berikut Ini Yang Bukan Merupakan Cara Mengaktifkan Microsoft Word Adalah – Eva Tutorial Setting MiFi Huawei Semua Tipe (E5573, E5577, E5673, etc) - CAHDESO - Mimpi Besar Anak Desa soal uas ganjil tik kelas 8 2016.docx - I Pilihlah jawaban a b c atau d yang dianggap paling benar dengan cara memberi tanda arsir(\u25cf pada lembar | Course Hero NIGURU.com Dm. Andromeda II Mm Si Latihan ms. word iPads in the A-State Classroom (Student) - Kursus Percuma oleh Arkansas State University di iTunes U ISBN 978-602-73404-1-1 Gunbound Tips and Trick: Januari 2007 NIGURU.com Berikut Ini Yang Bukan Merupakan Cara Mengaktifkan Microsoft Word Adalah – Eva Dm. Andromeda II Mm Si Umum | Pak Saruri Weblog Soal tik kelas 7 Gift Guide- Kiddos! - Mrs. Coco Wyse Cara Install Mendeley Desktop dan Ms Word Citation Plugin Algoritma flowchart Berikut yang bukan merupakan cara menutup dokumen Microsoft Word 2007 adalah…A. klik Office - Brainly.co.id NIGURU.com DBOF - Belajar Berbagi Mencerahkan 2. What s the name of picture or symbol in desktop which has fuction to open Program? a. toolbar b. icon c. shortcut d. menu - PDF Free Download Uji Stabilitas Jaringan - Kemahasiswaan IT Telkom Contoh Soal KKPI Saya Belajar Linux Ubuntu 10.4 [8x4eg58oeyl3] Berikut Ini Yang Bukan Merupakan Cara Mengaktifkan Microsoft Word Adalah – Eva ULHAR 1 TIK | Computers Quiz - Quizizz Powering Payments from the Driver’s Seat NIGURU.com Memperbaiki Segala Kerusakan Pada Windows 7/8/8.1/10 Dengan SFC i RANCANG BANGUN GAME EDUKASI JAVA CODING GAME | Manualzz DBOF - Belajar Berbagi Mencerahkan Some Factors Related to Educational Attainment in Indonesian Primary Schools Laurens Kaluge Institute of Education University of

Persamaan Dan Perbedaan Antara Gerakan Mahasiswa Angkatan 1966 Dengan Angkatan 1998

Teks Eksposisi Dalam Bahasa Jawa