Contoh Soal Integral Trigonometri Berpangkat

Jan 28, 2021

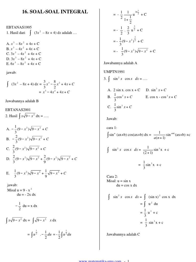
Contoh Soal Integral Trigonometri Berpangkat | Kumpulan Soal … M202 : Integral Trigonometri berpangkat (Rumus Reduksi Part a … Contoh Soal Integral Trigonometri Berpangkat | Kumpulan Soal … Contoh Soal Integral Trigonometri Berpangkat | Kumpulan Soal … Contoh Soal Integral Trigonometri Berpangkat | Kumpulan Soal … Soal Integral Fungsi Trigonometri Integral Trigonometri | Pendidikan Matematika Integral Trigonometri | Pendidikan Matematika Contoh Soal Integral Trigonometri Berpangkat | Kumpulan Soal … Soal dan Pembahasan Integral Trigonometri (1-5) | Istana Mengajar Contoh Soal Integral Trigonometri Berpangkat | Kumpulan Soal … Contoh Soal Integral Trigonometri Berpangkat | Kumpulan Soal … M202 : Integral Trigonometri (Contoh Soal) - YouTube Integral Trigonometri | Pendidikan Matematika Contoh soal dan penyelesaian trigonometri secara lengkap Contoh Soal Integral Trigonometri Berpangkat | Kumpulan Soal … Rumus Integral Trigonometri Dan Cara Menentukannya Integral Trigonometri UN Matematika SMA Soal Integral Fungsi Trigonometri Contoh soal dan penyelesaian trigonometri secara lengkap Rumus Integral Trigonometri - RumusHitung.Com 04 integral trigonometri Contoh Soal Integral Trigonometri Berpangkat | Kumpulan Soal … Integral Trigonometri - Rumus, Integral Cos, Soal & Pembahasan Contoh Soal Integral Trigonometri Berpangkat | Kumpulan Soal … Rumus Cepat Integral Trigonometri – IlmuSosial.id Contoh Soal Integral Trigonometri Berpangkat | Kumpulan Soal … Contoh Soal Integral Trigonometri Berpangkat | Kumpulan Soal … Contoh Soal Integral Trigonometri Berpangkat | Kumpulan Soal … Integral Trigonometri - Rumus, Integral Cos, Soal & Pembahasan Integral Trigonometri - Rumus, Integral Cos, Soal & Pembahasan Integral Trigonometri | Pendidikan Matematika mesin INTEGRAL TRIGONOMETRI : Contoh Soal - YouTube Contoh Soal Integral Tak Tentu Trigonometri - Soal-Soal Contoh Soal Integral Substitusi Trigonometri | Kumpulan Soal … Contoh Soal Integral | Kumpulan Soal pelajaran 6 04 integral trigonometri Integral Substitusi & Integral Parsial - Materi, Rumus, Contoh Soal Rumus Cepat Integral Trigonometri – IlmuSosial.id Soal dan Pembahasan Integral Tertentu Fungsi Trigonometri (1-4 … bag_5 integral Contoh Soal Integral Trigonometri Parsial | Kumpulan Soal pelajaran 6 Rumus Integral Matematika Kalkulus] Contoh Soal Integral dengan Pemfaktoran Pecahan - YouTube Integral Trigonometri - Rumus, Integral Cos, Soal & Pembahasan Contoh Soal Integral Tentu, Tak Tentu, Substitusi, Parsial … Rumus Integral Trigonometri Dan Cara Menentukannya Contoh Soal Integral Trigonometri Berpangkat | Kumpulan Soal … Contoh soal dan penyelesaian trigonometri secara lengkap Rumus Integral Parsial, Subtitusi, Tak Tentu, dan Trigonometri … √ Integral (Pengertian, Rumus, Parsial, Subtitusi, Tak Tentu) √ Integral: Integral Tentu, Tak Tentu, Substitusi, Parsial … Contoh Soal Integral Substitusi Trigonometri | Kumpulan Soal … √ Integral: Integral Tentu, Tak Tentu, Substitusi, Parsial … 16. Soal-Soal Integral integral)integral trigono part6 (pangkat ganjil).flv - YouTube Rumus Integral Trigonometri | idschool Contoh Soal Integral Trigonometri Berpangkat | Kumpulan Soal … Integral Substitusi Fungsi Eksponen Trigonometri Contoh Soal Integral Tentu, Tak Tentu, Substitusi, Parsial … Contoh Soal Integral Trigonometri Berpangkat | Kumpulan Soal … Contoh soal dan penyelesaian trigonometri secara lengkap Integral Trigonometri - Rumus, Integral Cos, Soal & Pembahasan Contoh Soal Integral Tentu, Tak Tentu, Substitusi, Parsial … Integral Trigonometri | Pendidikan Matematika Contoh Soal Integral Trigonometri Berpangkat | Kumpulan Soal … Rumus Integral Matematika : Tak Tentu, Tentu dan Trigonometri Contoh Soal Integral Trigonometri Berpangkat | Kumpulan Soal … Soal dan Pembahasan Integral Trigonometri (1-5) | Istana Mengajar Integral Trigonometri - Math Tutors Soal integral dan pembahasan Integral Trigonometri - Rumus, Integral Cos, Soal & Pembahasan Contoh Soal Integral Rumus Reduksi – Cute766 2. Contoh Soal INTEGRAL Bentuk Pecahan dan Pangkat Negatif … Integral Tak Tentu : Pengertian, Rumus, Sifat dan Cont Rumus Integral Matematika Contoh Soal Integral Rumus Reduksi – Cute766 Contoh Soal Integral Trigonometri Berpangkat | Kumpulan Soal … √ Integral: Integral Tentu, Tak Tentu, Substitusi, Parsial … Integral Trigonometri 2 Integral Trigonometri - Rumus, Integral Cos, Soal & Pembahasan √ Integral: Integral Tentu, Tak Tentu, Substitusi, Parsial … Integral Parsial - Matematika G12 | Quipper Blog Contoh Soal Integral Pecahan Dan Pembahasan - Soal-Soal Soal dan Pembahasan Integral Trigonometri (1-5) | Istana Mengajar 5.1 Konsep Anti Turunan integral fungsi … Menyelesaikan soal … Contoh soal dan penyelesaian trigonometri secara lengkap Belajar Rumus Integral Tak Tentu Beserta Contoh Soal serta Cara … Tutorial Cara Cepat dan Mudah Menentukan Turunan Fungsi … Integral Tak Tentu dan Integral Tentu Integral Trigonometri Contoh Soal Dan Pembahasan Lengkap 2.docx Contoh Soal Integral Trigonometri Berpangkat | Kumpulan Soal … Integral Trigonometri | Pendidikan Matematika Contoh Soal Integral Tentu, Tak Tentu, Substitusi, Parsial Contoh soal dan penyelesaian trigonometri secara lengkap Rumus Integral Matematika : Tak Tentu, Tentu dan Trigonometri Integral Fungsi Trigonometri Contoh Soal Integral Trigonometri BUKU KALKULUS INTEGRAL

Senyawa Karbon Dan Gugus Fungsi

Contoh Kalimat Positif Simple Past Tense