Contoh Soal Tekanan Parsial

Jan 27, 2021

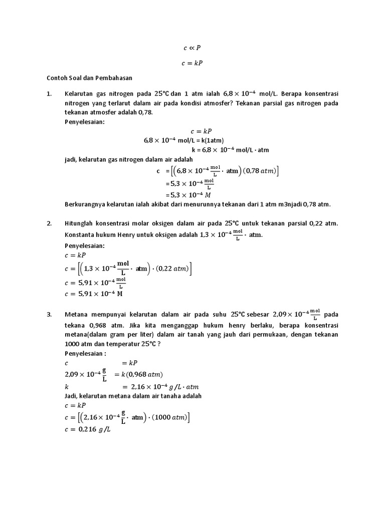
Hubungan Kuantitatif antara Pereaksi dan Hasil Reaksi | rini oktavia Campuran sederhana 7 Contoh Soal dan Pembahasan Tetapan Kesetimbangan dalam Tekanan … KIMIA FISIK I 3 (3-0) Tim Pengajar: 1. Komar Sutriah - ppt download 7 Contoh Soal dan Pembahasan Tetapan Kesetimbangan dalam Tekanan … 7 Contoh Soal dan Pembahasan Tetapan Kesetimbangan dalam Tekanan … HUKUM TETAPAN KESETIMBANGAN KONSENTRASI - ppt download pada suhu 25 derajat celcius dan tekanan total 0,30 atm. tekanan … 7 Contoh Soal dan Pembahasan Tetapan Kesetimbangan dalam Tekanan … KIMIA: 5.6 Hukum Tekanan Parsial Dalton Hukum Henry - Rumus, Nilai Konstanta - Kelarutan Gas dalam Air - Soal Kesetimbangan (menentukan Tekanan Parsial)- Kimia SMA - YouTube Tetapan Kesetimbangan 7 Contoh Soal dan Pembahasan Tetapan Kesetimbangan dalam Tekanan … Education Blog: Laju Reaksi Kelas 2 SMA Soal kesetimbangan kimia dan pergeseran kimia Pintar Pelajaran Tetapan Kesetimbangan Pada Tekanan Parsial Gas … Soal Dan Pembahasan 60+ Soal Kesetimbangan Kimia Pilihan Ganda & Jawaban [+Pembahasan] Konstanta Kesetimbangan - Rumus, Soal dan Jawaban - PINTERPandai Cara Menghitung Tekanan Parsial: 14 Langkah (dengan Gambar) 7 Contoh Soal dan Pembahasan Tetapan Kesetimbangan dalam Tekanan … Hubungan Kuantitatif antara Pereaksi dan Hasil Reaksi | rini oktavia Jenis Jenis Hubungan Kuantitatif Antara Pereaksi dan Hasil Reaksi … soal kimia materi kesetimbangan kimia 2 gas ideal & gas nyata edited Kesetimbangan Kimia : Tetapan Kesetimbangan Berdasarkan Tekanan … PSIKROMETRI. - ppt download Pintar Pelajaran Tetapan Kesetimbangan Pada Tekanan Parsial Gas … √ Kesetimbangan Kimia (Pengertian, Rumus, & Soal) 7 Contoh Soal dan Pembahasan Tetapan Kesetimbangan dalam Tekanan … Soal 21-30 Cara Mencari Kc dan Kp | Panduan Kimia + Riset kumpulan soal hukum-hukum gas Tetapan parsial gas | ardra.biz Soal Kuantitatif Pergeseran Kesetimbangan Kimia Edisi November … Menghitung Reaksi Kesetimbangan Tetapan Kp Halaman all - Kompas.com Contoh soal tetapan kesetimbangan parsial Kp dan pembahasannya … 7 Contoh Soal dan Pembahasan Tetapan Kesetimbangan dalam Tekanan … Tetapan Kp Kesetimbangan Kimia - Konsep, Jenis, Pergeseran, Tetapan dan Aplikasi Rangkuman Materi & 44 Contoh Soal Reaksi Kesetimbangan Dan … Menentukan Tekanan Parsial Saat Kesetimbangan - YouTube DOC) CONTOH PERHITUNGAN KESETIMBANGAN FASA | Zacky Neutron … Contoh Soal PAS/UAS Ganjil Kimia Kelas XI Part IV Hubungan antara Harga Kc dengan Kp, Tetapan Kesetimbangan Kimia … Pintar Pelajaran Tetapan Kesetimbangan Pada Tekanan Parsial Gas … Fraksi Mol Kimia - Xi - Rumus, Penjelasan, Contoh Soal dan Jawaban Cara Menentukan Satuan Kc dan Kp - Urip dot Info Kesetimbangan Kimia, Dinamis, Tetapan, Contoh Soal, Praktikum … 7 Contoh Soal dan Pembahasan Tetapan Kesetimbangan dalam Tekanan … Soal 11-20 Cara Mencari Kc dan Kp | Panduan Kimia + Riset Kimia fisika Tetapan Kesetimbangan KIMIA FISIK I 3 (3-0) Tim Pengajar: 1. Komar Sutriah - ppt download Hukum Dalton : Isi - Penerapan - Rumus dan Contoh Soal - MateriIPA.com Diketahui reaksi kesetimbangan: N₂(g) + 3H₂(g) = 2NH₃(e) pada 400 … Pelajaran, Soal, & Rumus Kesetimbangan Kimia | Wardaya College Bab 1 Jenis Jenis Hubungan Kuantitatif Antara Pereaksi dan Hasil Reaksi … KESETIMBANGAN KIMIA | ekasovia Rangkuman Materi & 44 Contoh Soal Reaksi Kesetimbangan Dan … 60+ Soal Kesetimbangan Kimia Pilihan Ganda & Jawaban [+Pembahasan] Yuk, Intip Contoh Soal Kesetimbangan Kimia biar SBMPTN Kimia Kamu … Kunci Soal Asas Teknik Kimia Bab Gas Ideal Dan Nyata Hubungan Harga Kp Dan Kc – Corona Todays Kimia Study Center.docx Contoh Soal Kesetimbangan Kimia Kesetimbangan Kimia - Pengertian, Konstanta, Penerapan, Contoh Soal KIMIA: 5.6 Hukum Tekanan Parsial Dalton Pembahasan Soal Nomor 2 OSN Kimia Tingkat Kabupaten/Kota Tahun … Kesetimbangan Kimia : Pengertian, Hukum, Rumus, Contoh Soal 7 Contoh Soal dan Pembahasan Tetapan Kesetimbangan dalam Tekanan … Modul, Rumus, & Soal Hukum Gas Ideal & Gas Dalton | Wardaya College Contoh Soal Kesetimbangan Kimia Dan Jawabannya – IlmuSosial.id Menghitung Reaksi Kesetimbangan Tetapan Kp Halaman all - Kompas.com Kesetimbangan kimia 15 Contoh Soal Ide Laju Reaksi : Pengertian & Rumus 5 Pembahasan Soal Essay Bab 7 Tekanan Zat dan Penerapannya dalam … Tetapan parsial gas | ardra.biz Kesetimbangan Kimia - Pengertian, Rumus Kp & Kc, Faktor, Contoh Soal 60+ Soal Kesetimbangan Kimia Pilihan Ganda & Jawaban [+Pembahasan] Buku Kimia XI by Sukemi SPd - issuu Kimia Study Center Rangkuman Materi & 44 Contoh Soal Reaksi Kesetimbangan Dan … DOC) Soal dan Jawaban Kesetimbangan Kimia | risa s - Academia.edu Soal dan Jawaban Kesetimbangan Kimia Cara mudah mencari tekanan parsial pada kesetimbangan - kimia SMA … Kesetimbangan kimia - Pengertian, Faktor, Pergeseran dan Contoh Soal Gas A sebanyak a mol di dalam ruang tertutup bereaksi membentuk … Soal 11-20 Cara Mencari Kc dan Kp | Panduan Kimia + Riset Kesetimbangan Kimia - Pengertian, Rumus Kp & Kc, Faktor, Contoh Soal phirelovers.netlify.com PSIKROMETRI. - ppt download Contoh Soal Hukum Henry kumpulan soal hukum-hukum gas Cara Menghitung Tekanan Parsial: 14 Langkah (dengan Gambar) Contoh Soal 1 - [DOCX Document] 7 Contoh Soal dan Pembahasan Tetapan Kesetimbangan dalam Tekanan … Pintar Pelajaran Tetapan Kesetimbangan Pada Tekanan Parsial Gas … Hukum Henry S k H p dimana S volume gas k H konstanta Henry gm 3 …

Contoh Surat Perizinan Orang Tua

Fastone Capture Serial Number