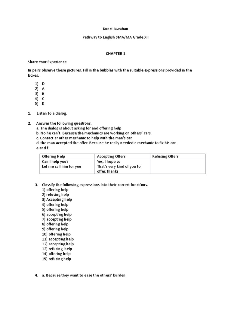
Kunci Jawaban Task 2 Observe The Captions And Answer The Questions That Follow

Jan 27, 2021

Task 2: Observe these pictures and photos. What are these pictures and photos trying to say? - Brainly.co.id tolong dijawab, soal bahasa inggris - Brainly.co.id Buku Bahasa Inggris kls XII kurikulum 2013 Kunci Jawaban Pathway | Bomb Disposal | Job Interview tolong bantu jawabbuku paket bahasa inggris kelas 12 halaman 18 - Brainly.co.id Bahasa Inggris Kelas XII K13 Buku Siswa PDF) Kunci Jawaban Intan Pariwara Kelas 12 Bahasa Inggris Edisi Lama | Ganno Kurniaji - Academia.edu Bg bahasa inggris sma kelas 12 edisi revisi 2018 ok NoTask 2 : Observe these pictures and photos. what are these picturesand photos trying to say ? - Brainly.co.id Kunci Jawaban PR Bahasa Inggris 12 Edisi 2019.pdf Kumpulan Soal pelajaran 1: Contoh Soal Caption Brainly Bahasa Inggris Kelas XII K13 Buku Siswa Buku Guru Bahasa Inggris SMA Kelas 12 Edisi Revisi 2018 Task 1 observe the picture in pairs Now, look at the following picture discuss with you chair-mate - Brainly.co.id Calaméo - Bahasa Inggris Kelas XII c. writing and describing captions PDF) Kelas XII Bahasa Inggris BS | Septiana Windyaningsih - Academia.edu 01 Haljud PR Inggris 12-KC.pmd KUNCI JAWABAN Kunci Jawaban Pathway | Bomb Disposal | Job Interview KUNCI JAWABAN 01 Haljud PR Inggris 12-KC.pmd Bahasa Inggris Kelas XII K13 Buku Guru Bahasa Inggris PDF) Kunci Jawaban PR Bahasa Inggris 10B K | Ipon 12 - Academia.edu Kunci Jawaban Bahasa Inggris Chapter 3, Task 2, Halaman 43 - 44 - Saifullah.id PDF) Developing a Higher Order Thinking Skills Module for Weak ESL Learners KUNCI JAWABAN Download Kunci Jawaban PR Bahasa Inggris 12 Edisi 2019.pdf Bahasa Inggris Soal Essay Bahasa Inggris Kelas 12 Semester 1 Kurikulum 2013 - Blog Dapodikdasmen https://matematohir.wordpress.com/ DEVELOPING SUPPLEMENTARY ENGLISH WRITING MATERIALS USING TASK-BASED LANGUAGE TEACHING FOR THE TENTH GRADE STUDENTS OF SENIOR HIG ARCHIPELAGIC NETWORKS OF POWER: VILLAGE ELECTRIFICATION, POLITICS, IDEOLOGY, AND DUAL NATIONAL IDENTITY IN INDONESIA (1966-1998) (PDF) Contextual factors affecting hint utility Pin on functional text DESIGNING SUPPLEMENTARY READING MATERIALS FOR MID BEGINNER STUDENTS USING SCHOOLOGY stitch | Zócalo Public Square 01 Haljud PR Inggris 12-KC.pmd After that number the following boxes to show which parts come first and which | Course Hero CHAPTER I INTRODUCTION Communicare Vol 2 No 1, Jan - Jun 2013 by LSPR Jakarta - issuu Buku Siswa Bahasa Inggris Kelas 12 Edisi Revisi 2018 Pages 51 - 100 - Flip PDF Download | FlipHTML5 Download Academic Paper writing service Archives - Lauwerie Mercedes Bahasa Inggris Kelas XII K13 Buku Guru DESIGNING SUPPLEMENTARY READING MATERIALS FOR MID BEGINNER STUDENTS USING SCHOOLOGY IJAL Januari 13.indb THE EFFECTIVENESS OF TEACHING READING USING COMIC STRIP TO FACILITATE STUDENTS’ READING COMPREHENSION ON NARRATIVE TEXT (An Ex EXERCISE 3Question 1.Look at the picture carefully. Write 5 sentences about it… | English creative writing, English worksheets for kids, Creative writing worksheets Latihan Soal USBN Bahasa Inggris SMA 2021 dan Kunci Jawaban Download Soal Usbn Sma Pdf - fasrforfree 2 Let s Visit Amazing Places! Aims: - PDF Free Download Generate and also impact composition tales with regards to pets - Bgu Tours Evaluating English Listening Websites for Independent Study soal bahasa inggris kelas 12 . - Brainly.co.id Untitled Unit 4 Teacher Version - 8th Grade Integrated Alice in Wonderland | Zócalo Public Square KUNCI JAWABAN Buku Siswa Bahasa Inggris Kelas 12 Edisi Revisi 2018 Pages 51 - 100 - Flip PDF Download | FlipHTML5 10 Contoh Soal Label Text dan Kunci Jawaban Terbaru - Paja Tapuih Advanced Accounting (2 Academic Paper writing service Archives - Lauwerie Mercedes Observe the following sentences. Compare the sentences in column A to column B. Download Soal Usbn Sma Pdf - fasrforfree Kunci Jawaban Pathway.docx | Bomb Disposal | Job Interview Contoh Soal Ujian Bahasa Inggris Kelas 11 Semester 2 Beserta Kunci Jawaban – Tekape.id Bahasa Inggris C 13 - A Picture Speaks Louder Than A Word-sip.indd The Dakwah Media in Post Suharto Indonesia: From Politics of Identity to Popular Culture (The Case of Ummi) THE EFFECTIVENESS OF USING SQ3R TECHNIQUE IN STUDENTS’ READING COMPREHENSION OF HORTATORY EXPOSITION TEXT (A Quasi-experimenta Generate and also impact composition tales with regards to pets - Bgu Tours Bahasa Inggris THE EFFECT OF IMPLEMENTING INQUIRY-BASED LEARNING STRATEGY ON STUDENTS’ READING COMPREHENSION (An Experimental Research of The Buku Guru Bahasa Inggris SMA Kelas 12 Edisi Revisi 2018 Unit 4 Teacher Version - 8th Grade Integrated Teks Prosedur Manual Teknologi dan Tips - JURNAL ARTEFAK Contoh Soal Bahasa Inggris Caption Text Dan Jawabannya – IlmuSosial.id THE EFFECTIVENESS OF USING INSTAGRAM TO TEACH WRITING AT MAN SALATIGA IN THE ACADEMIC YEAR OF 2019/2020 GRADUATING PAPER Submitt Untitled c. writing and describing captions (ZainalAbidinNaningandRitaHayati) (Koryati) (MurwaniUjihanti) (Zulkifli) IMPROVING THE STUDENTS’ ABILITY IN SPEAKING BY USING DEBATE TECHNIQUE AT THE TENTH GRADE OF SMK NEGERI 1 ARAMO AN ANALYSIS OF ENGLISH SUMMATIVE TEST ITEMS OF TWELFTH GRADE STUDENT OF MAN 2 MERANGIN ACADEMIC YEAR 2019/2020 THESIS BY MAKRUB 01 Haljud PR Inggris 12-KC.pmd Jurnal Pendidikan IPA Indonesia Chapter 1 – Critical Reading – Let’s Get Writing! Module 12 Review Quiz - Due Apr 30, 2020 11:59 PM … | Chegg.com 38 questions with answers in SCIENCE FICTION | Science topic KUNCI JAWABAN Soal Latihan Ulangan PAS / UAS Bahasa Inggris Kelas 9 SMP / MTS Semester 1 Ganjil 2020 - Halaman all - Tribun Pontianak Multimedia Making It Work - Eighth Edition by Victor Gutierrez - issuu Uzyskanie dowodu osobistego dla dziecka - BiuraPaszportowe.pl Advanced Accounting (2 AN EVALUATION OF ENGLISH TEXTBOOK FOR SENIOR HIGH SCHOOL STUDENTS GRADE X PUBLISHED BY ERLANGGA GRADUATE PROGRAM DEPARTMENT O ENGLISH LANGUAGE AND LITERATURE STUDY PROGRAM ENGLISH LANGUAGE EDUCATION DEPARTMENT LANGUAGES AND ARTS FACULTY YOGYAKARTA STATE PRINCIPLES OF AUDITING ARCHIPELAGIC NETWORKS OF POWER: VILLAGE ELECTRIFICATION, POLITICS, IDEOLOGY, AND DUAL NATIONAL IDENTITY IN INDONESIA (1966-1998) Global Journal of Management and Business Research IMPROVING THE STUDENTS’ ABILITY IN SPEAKING BY USING DEBATE TECHNIQUE AT THE TENTH GRADE OF SMK NEGERI 1 ARAMO

Coba Ceritakan Secara Singkat Perlawanan Rakyat Maluku Terhadap Dominasi Portugis

Salah Satu Berpikir Sejarah Yang Memiliki Pengertian Perjalanan Sepanjang Waktu Adalah