Soal Akuntansi Dasar Kelas 10

Jan 28, 2021

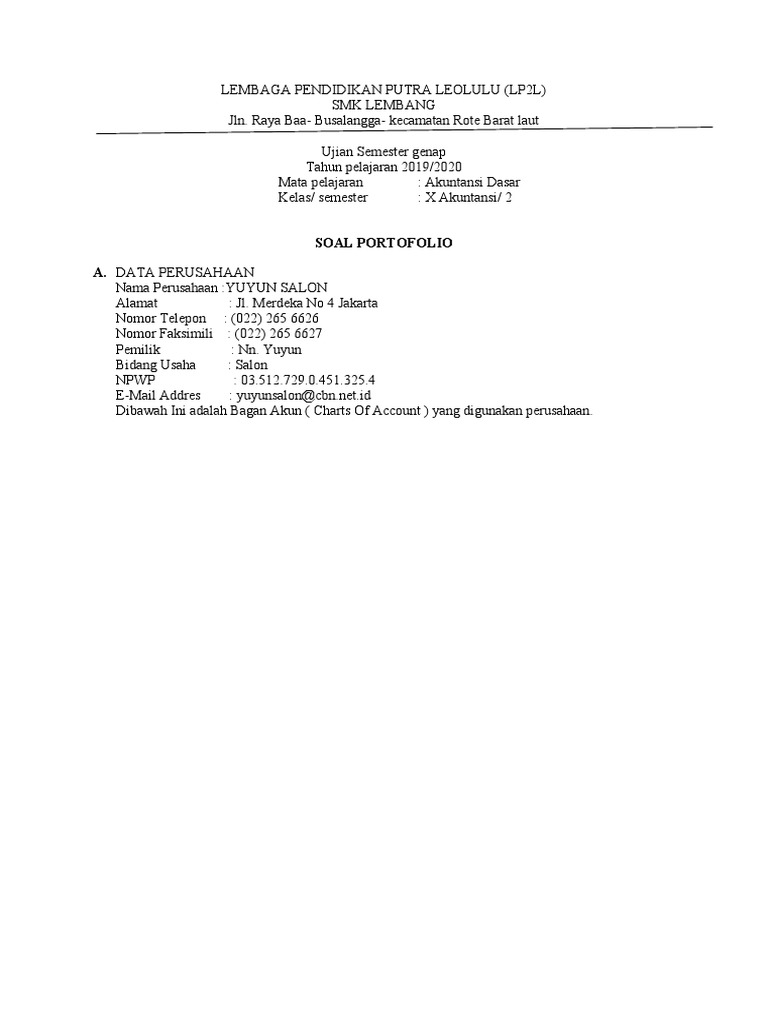
Soal Akuntansi Kelas x Latihan Soal Akuntansi Dasar Kelas 10 Akuntansi Dasar SMK/MAK Kelas X Latihan Soal Akuntansi Dasar Kelas 10 Latihan Soal Akuntansi Dasar Kelas 10 Contoh Soal Akuntansi Materi Akuntansi Dasar Kelas 10 Semester 1 Kurikulum 2013 … RPP SMK Pengantar Akuntansi Keuangan Kelas X Contoh Soal Akuntansi Kelas X Semester 1 Lengkap Beserta … Soal Akuntansi Kelas x Contoh Soal Akuntansi | Blog Pendidikan Buku Akuntansi Smk Kelas 10 Pdf Contoh Soal Hots Akuntansi Dasar Kisi Kisi Pas Kelas x Acc New Nov 2018 Akundasar Perbankan Soal semester akuntansi sma kelas xii dan kunci Contoh Soal Akuntansi Dasar Soal Akuntansi Dan Jawabannya Pilihan Ganda – IlmuSosial.id Contoh Soal Akuntansi Dasar Dan Jawaban Kelas 10 – IlmuSosial.id Soal semester akuntansi sma kelas xii dan kunci Soal Akuntansi Kelas x Buku Akuntansi Smk Kelas 10 Pdf 60 soal pengantar ekonomi bisnis kelas x akuntansi dan kunci jawaban … Buku Akuntansi Smk Kelas 10 Pdf Materi Akuntansi Smk Kelas 10 - Guru Galeri Contoh Soal Hots Akuntansi Dasar Soal Akuntansi Keuangan Pilihan Ganda – IlmuSosial.id 40 Materi Akuntansi Dasar | Pengertian, Tujuan, Fungsi | Contoh Soal Hots Akuntansi Dasar DOC) SOAL dan JAWABAN AKUNTANSI KELAS X | Hheri Dhewe Ajha … Soal etika profesi x Kisi-kisi Usbn Dasar-dasar Akuntansi (c2) 2019 Soal Akuntansi Kelas 10 - Guru Paud 35 contoh soal pilihan ganda Dasar dasar akuntansi + jawabanya … Contoh Soal Akuntansi Dasar Dan Jawabannya Pdf Soal Akuntansi Kelas x Tugas Spreadsheet untuk Siswa SMK Kelas X Akuntansi - Paket … PERBANKAN DASAR SMK PROG AKT&KEUANGAN KLS X/KIKD17 | Shopee Indonesia Mengenal Konsep Persamaan Dasar Akuntansi | Ekonomi Kelas 12 Persamaan Dasar Akuntansi Latihan Soal - YouTube Tolong bantu jawab soal ini dalam bentuk persamaan dasar … 35 contoh soal pilihan ganda Dasar dasar akuntansi + jawabanya … Materi Akuntansi Dasar Lengkap | Contoh soal dan jawaban | Cekkembali Contoh Soal Akuntansi Dasar Akuntansi Kelas 10 Semester 1 – IlmuSosial.id Persamaan Dasar Akuntansi: Penjelasan dan Contohnya Soal etika profesi x Soal Akuntansi Dasar Kelas X Materi Badan Usaha - Jendela Guru RPP Akuntansi Dasar Kelas X Semester 1 KD. 3.6 Soal Akuntansi Kelas 12 Beserta Jawaban – IlmuSosial.id 60 soal pengantar ekonomi bisnis kelas x akuntansi dan kunci jawaban … MODUL PEGANGAN GURU Akuntansi Dasar SMK/MAK Kelas X (2020 … Materi Akuntansi Smk Kelas 10 - Guru Galeri Contoh Soal Akuntansi Dasar Kelas X Semester 1 Beserta Jawabannya … Jual Mahir Akuntansi Bank Soal Pengantar Akuntansi Dasar Seri … Latihan Soal Penilaian Tengah Semester 2019: Ekonomi Kelas XII Konsep Dasar Akuntansi dan Pelaporan Keuangan Jilid 1: SMK Kelas X … Persamaan Dasar Akuntansi Tolong Ya cara nya gmn? - Brainly.co.id Akuntansi Keuangan Kelas 12 Smk Pdf – IlmuSosial.id Contoh Soal Praktikum Akuntansi Lembagainstansi Pemerintah Kelas … Contoh Soal Persamaan Dasar Akuntansi - Kampung Ilmu | Artikel … MODUL 10 AKUNTANSI PERUSAHAAN JASA - PDF Free Download Soal etika profesi x ADMINISTRASI UMUM (PROG. AKUNTANSI & KEU) SMK KLS.X/KIKD17 Soal Pilihan Ganda Administrasi Umum Kelas 10 – IlmuSosial.id 15 Soal Pilihan Ganda Akuntansi Kelas 10 Beserta Jawabannya … √ Persamaan Dasar Akuntansi: Rumus dan Contoh Soal Lengkap Ini Dia Pengertian Akuntansi Simpel yang Wajib Kamu Baca! AKUNTANSI DASAR SMK MAK Kelas X K13 KD KI Program Keahlian … √ Persamaan Dasar Akuntansi: Rumus dan Contoh Soal Lengkap KISI-KISI PAT_Perbankan Dasar_X AK.docx Soal Akuntansi Kelas 12 Beserta Jawaban – IlmuSosial.id Soal Akuntansi Dasar Kelas 10 - Guru Paud Soal Ujian Praktek Akuntansi UKK 2018 | abdrah.wordpress.com Soal Pilihan Ganda Administrasi Umum Kelas 10 – IlmuSosial.id SOAL UTS KELAS X AKUNTANSI DASAR.docx Contoh Soal Akuntansi Dasar Kelas X - Contoh Soal Terbaru Akuntansi jilid 1 Dokumentasi·PBM SMK - RAIH PRESTASI AKUNTANSI DASAR UNTUK SMK - MAK KELAS X … Soal Pas Perbankan Dasar Semester 2 Kelas X Akuntansi Jawaban soal persamaan dasar akuntansi perusahaan Surya Taksi … Soal Akuntansi Dasar Kelas x Akuntansi 15 Soal Pilihan Ganda Akuntansi Kelas 10 Beserta Jawabannya … Tugas Spreadsheet untuk Siswa SMK Kelas X Akuntansi - Paket … soal penilaian akhir semester Akuntansi Dasar kls X smstr 2 Contoh Soal Akuntansi Dasar Kelas X - Contoh Soal Terbaru Soal Akuntansi Kelas x SOAL UTS GENAP MAPEL AKUNTANSI DASAR KELAS 10 AKL - YouTube √ Contoh Siklus Akuntansi Perusahaan Jasa [Lengkap] 26-Kisi-kisi Pengantar Akuntansi K2013 SOAL dan JAWABAN AKUNTANSI KELAS X.docx - SOAL DAN JAWABAN … Soal uas pengantar ap semester 1 50 Soal dan Jawaban Etika Profesi (Pilihan Ganda) - BARU - Muttaqin id Latihan Soal Akuntansi Dasar Kelas 10 Kunci Jawaban Dasar Dasar Akuntansi Jilid 1 Edisi 7 Pdf - Kanal Jabar Akuntansi Soal dan Pembahasan Kelas XI.docx Soal Ekonomi Kelas 12 XII SMA/MA/STM, Soal PG & Essay 2021 Contoh Soal Akuntansi dan Jawaban Lengkap | 80+ Contoh | Akuntansi Dasar Persamaan Dasar Akuntansi Materi Kelas 10smk - Cute766 Soal Akuntansi Kelas x - [DOC Document]

Langkah Langkah Menulis Karya Ilmiah Secara Sistematis

Download Buku Pengantar Akuntansi Kelas 11 Kurikulum 2013